Contoh soal laju reaksi dan pembahasannya.
Jika kamu mencari artikel contoh soal laju reaksi dan pembahasannya terlengkap, berarti kamu telah berada di web yang tepat. Yuk langsung aja kita simak pembahasan contoh soal laju reaksi dan pembahasannya berikut ini.
 Soal Pembahasan Un Kimia Materi Polimer Soal Dan Pembahasan Kimia Cute766 From cute766.info
Soal Pembahasan Un Kimia Materi Polimer Soal Dan Pembahasan Kimia Cute766 From cute766.info
Mudah-mudahan saja contoh soal pembahasan kimia materi laju reaksi ini bermanfaat banyak. Diketahui reaksi sebagai berikut. Penyelesaian soal pembahasan. Laju Reaksi Persamaan Laju Reaksi Dan Orde Reaksi Kimia.
Contoh Soal Laju Reaksi Beserta Pembahasannya.
Berdasar reaksi 2N 2 O g 2N 2 g O 2 g Persamaan laju reaksi k N 2 O Hitunglah waktu yang diperlukan agar konsentrasi N 2 O g berkurang dari 075 M ke 033 M. Pembahasan Soal 1. Tetapan kesetimbangan dari reaksi SnO2 2 H2. Contoh Soal Pendahuluan Laju Reaksi dan Pembahasannya. Berdasar reaksi 2N 2 O g 2N 2 g O 2 g Persamaan laju reaksi k N 2 O Hitunglah waktu yang diperlukan agar konsentrasi N 2 O g berkurang dari 075 M ke 033 M.
Source: cute766.info
Reaksi orde-1 berlaku ln At -kt ln A Dalam soal ini ln N2O5t -kt ln N2O5 Dihitung tekanan N2O5 saat t dengan menggunakan persamaan seperti tabel berikut. Laju reaksi tiap-tiap komponen tersebut merupakan perubahan konsentrasinya setiap satuan waktu. Diketahui reaksi sebagai berikut. Baca juga. 2 N2O5g 4 NO2g O2g diketahui bahwa N2O5berkurang dari 3 molliter menjadi 1 molliter dalam waktu 10 detik.
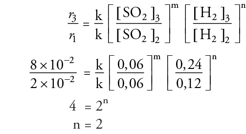
2NO g 2H 2 g Nsub2 g 2H 2 Og Diperoleh data sebagai berikut.
Soal Dan Pembahasan Menentukan Laju Reaksi Untuk menentukan orde reaksi terhadap h 2 lihat molar i 2 yang sama pada data yakni reaksi no 2 dan 3 maka. V 80 mL. Laju Reaksi Persamaan Laju Reaksi Dan Orde Reaksi Kimia. 2N 2 O 5 g 4NO 2 g O 2 g.
 Source: id.pinterest.com
Source: id.pinterest.com
Di misalkan v k P x Q y setelah di lakukan perhitungan di peroleh orde reaksi P 1 dan Q 2. Soal dan pembahasan laju reaksi kimia pilihan ganda. 2N 2 O 5 g 4NO 2 g O 2 g. Laju Reaksi adalah perubahan konsentrasi reaktan atau produk per satuan waktu di bawah ini akan disajikan contoh soal pembahasan kimia materi laju reaksi.
 Source: bakingupforlosttime.blogspot.com
Source: bakingupforlosttime.blogspot.com
Pada soal ini diketahui. Kelas xi penerbit erlangga pengarang unggul sudarmo. Itulah beberapa pembahasan contoh soal termodinamika lengkap dengan jawaban dan pembahasannya yang bisa kami hadirkan saat ini. Perhatikan contoh soal termokimia dan pembahasannya berikut ini supaya pemahamanmu mengenai materi termokimia semakin mendalam.
 Source: pdfcookie.com
Source: pdfcookie.com
Contoh Soal Laju Reaksi Pilihan Ganda dan Jawaban Pembahasan - Reaksi kimia ada yang berlangsung cepat ada pula yang berlangsung lambat Baca Juga. 2mboxN_2mboxO_5rightarrow4mboxNO_2mboxO_2 Apabila diketahui laju reaksi pembentukan oksigen adalah 001 molar per menit nyatakan laju reaksi dalam konsentrasi spesi-spesi lain yang terlibat. Soal soal laju reaksi dan pembahasannya Read more Arsyi Nurani Student Follow 75 Comments 254 Likes Statistics Notes Full Name. Di misalkan v k P x Q y setelah di lakukan perhitungan di peroleh orde reaksi P 1 dan Q 2.
Berikut ini soal kimia SMA tentang laju reaksi dan pembahasannya. Contoh soal laju reaksi nomor 5. Mudah-mudahan saja contoh soal pembahasan kimia materi laju reaksi ini bermanfaat banyak. Pembahasan contoh soal laju reaksi Posted by Edutafsi on 14 May 2015 - 1126 PM Reaksi 2A B C mempunyai tetapan laju reaksi k dengan orde reaksi A 2 dan orde reaksi B 1.
2 N2O5g 4 NO2g O2g diketahui bahwa N2O5berkurang dari 3 molliter menjadi 1 molliter dalam waktu 10 detik.
Kimia menggambarkan kehidupan sedemikian rupa sehingga. Kesetimbangan suatu reaksi akan tercapati apabila dalam reaksi. Soal Dan Pembahasan Menentukan Laju Reaksi Untuk menentukan orde reaksi terhadap h 2 lihat molar i 2 yang sama pada data yakni reaksi no 2 dan 3 maka. Laju Reaksi adalah perubahan konsentrasi reaktan atau produk per satuan waktu di bawah ini akan disajikan contoh soal pembahasan kimia materi laju reaksi. Soal soal laju reaksi dan pembahasannya Read more Arsyi Nurani Student Follow 75 Comments 254 Likes Statistics Notes Full Name.
 Source: id.pinterest.com
Source: id.pinterest.com
Selama ini kimia sering diidentikkan dengan fisika yang mana setingkat lebih mudah dari matematika. Untuk cara memahami profil diagram energi aktivasi yang dikaitkan dengan laju reaksi dapat dibaca di sini berikut ini beberapa grafik yang paling sering digunakan pada soal soal ujian nasional maupun ujian lain. 2NO g 2H 2 g Nsub2 g 2H 2 Og Diperoleh data sebagai berikut. Selama ini kimia sering diidentikkan dengan fisika yang mana setingkat lebih mudah dari matematika. Koefisien tersebut diperoleh setelah persamaan reaksi setara.
12 hours ago Delete Reply Block. 2NO g 2H 2 g Nsub2 g 2H 2 Og Diperoleh data sebagai berikut. Itulah beberapa pembahasan contoh soal termodinamika lengkap dengan jawaban dan pembahasannya yang bisa kami hadirkan saat ini. T 30 detik.
Are you sure you.
Contoh Soal Laju Reaksi Pilihan Ganda dan Jawaban Pembahasan - Reaksi kimia ada yang berlangsung cepat ada pula yang berlangsung lambat Baca Juga. Setelah setimbang kedua laju reaksi ke kanan dan ke kiri samaJawaban. 12 hours ago Delete Reply Block. Mudah-mudahan saja contoh soal pembahasan kimia materi laju reaksi ini bermanfaat banyak.
 Source: bakingupforlosttime.blogspot.com
Source: bakingupforlosttime.blogspot.com
Koefisien tersebut diperoleh setelah persamaan reaksi setara. Kesetimbangan suatu reaksi akan tercapati apabila dalam reaksi. Berdasar reaksi 2N 2 O g 2N 2 g O 2 g Persamaan laju reaksi k N 2 O Hitunglah waktu yang diperlukan agar konsentrasi N 2 O g berkurang dari 075 M ke 033 M. 30 contoh soal dan pembahasan laju reaksi ok pada kesempatan kali ini mas dennis akan memberikan contoh soal mengenai materi laju reaksi.
 Source: panduankimia.net
Source: panduankimia.net
Soal Dan Pembahasan Menentukan Laju Reaksi Untuk menentukan orde reaksi terhadap h 2 lihat molar i 2 yang sama pada data yakni reaksi no 2 dan 3 maka. Soal Kimia Tentang Laju Reaksi dan Pembahasannya. Reaksi orde-1 berlaku ln At -kt ln A Dalam soal ini ln N2O5t -kt ln N2O5 Dihitung tekanan N2O5 saat t dengan menggunakan persamaan seperti tabel berikut. Koefisien tersebut diperoleh setelah persamaan reaksi setara.
Source: cute766.info
Berikut ini soal kimia SMA tentang laju reaksi dan pembahasannya. Berikut ini soal kimia SMA tentang laju reaksi dan pembahasannya. Laju reaksi tiap-tiap komponen tersebut merupakan perubahan konsentrasinya setiap satuan waktu. Kelas xi penerbit erlangga pengarang unggul sudarmo.
Soal soal laju reaksi dan pembahasannya Read more Arsyi Nurani Student Follow 75 Comments 254 Likes Statistics Notes Full Name.
Menuliskan persamaan termokimia untuk reaksi pembentukan dan reaksi pembakaran. Menuliskan persamaan termokimia untuk reaksi pembentukan dan reaksi pembakaran. 30 contoh soal dan pembahasan laju reaksi ok pada kesempatan kali ini mas dennis akan memberikan contoh soal mengenai materi laju reaksi. 2mboxN_2mboxO_5rightarrow4mboxNO_2mboxO_2 Apabila diketahui laju reaksi pembentukan oksigen adalah 001 molar per menit nyatakan laju reaksi dalam konsentrasi spesi-spesi lain yang terlibat. Tentukan persamaan laju reaksi tersebut.
 Source: id.pinterest.com
Source: id.pinterest.com
Contoh Soal Pendahuluan Laju Reaksi dan Pembahasannya. 2N 2 O 5 g 4NO 2 g O 2 g. Penyelesaian Kita bandingkan percobaan 1 dan percobaan 2 serta pecobaan 4 terhadap percobaan 5seperti berikut. Tentukan persamaan laju reaksi tersebut. Kesetimbangan suatu reaksi akan tercapati apabila dalam reaksi.
Contoh soal laju reaksi pilihan ganda dan jawaban pembahasan reaksi kimia ada yang berlangsung cepat ada pula yang berlangsung lambat.
Soal soal laju reaksi dan pembahasannya Read more Arsyi Nurani Student Follow 75 Comments 254 Likes Statistics Notes Full Name. Mudah-mudahan saja contoh soal pembahasan kimia materi laju reaksi ini bermanfaat banyak. T 30 detik. Maka hanya perlu memasukkan nilai x dan y pada persamaan laju reaksinya.
 Source: edukasi.lif.co.id
Source: edukasi.lif.co.id
30 contoh soal dan pembahasan laju reaksi ok pada kesempatan kali ini mas dennis akan memberikan contoh soal mengenai materi laju reaksi. Soal Kimia Tentang Laju Reaksi dan Pembahasannya. Maka hanya perlu memasukkan nilai x dan y pada persamaan laju reaksinya. Pembahasan contoh soal laju reaksi Posted by Edutafsi on 14 May 2015 - 1126 PM Reaksi 2A B C mempunyai tetapan laju reaksi k dengan orde reaksi A 2 dan orde reaksi B 1.
 Source: bakingupforlosttime.blogspot.com
Source: bakingupforlosttime.blogspot.com
Contoh Soal Laju Reaksi Pilihan Ganda dan Jawaban Pembahasan - Reaksi kimia ada yang berlangsung cepat ada pula yang berlangsung lambat Baca Juga. Mudah-mudahan saja contoh soal pembahasan kimia materi laju reaksi ini bermanfaat banyak. Itulah beberapa pembahasan contoh soal termodinamika lengkap dengan jawaban dan pembahasannya yang bisa kami hadirkan saat ini. Penyelesaian soal pembahasan.
 Source: myrightspot.com
Source: myrightspot.com
Itulah beberapa pembahasan contoh soal termodinamika lengkap dengan jawaban dan pembahasannya yang bisa kami hadirkan saat ini. 12 hours ago Delete Reply Block. Berdasar reaksi 2N 2 O g 2N 2 g O 2 g Persamaan laju reaksi k N 2 O Hitunglah waktu yang diperlukan agar konsentrasi N 2 O g berkurang dari 075 M ke 033 M. 30 contoh soal dan pembahasan laju reaksi ok pada kesempatan kali ini mas dennis akan memberikan contoh soal mengenai materi laju reaksi.
Contoh Soal Laju Reaksi Pembahasannya.
Pembahasan contoh soal laju reaksi Posted by Edutafsi on 14 May 2015 - 1126 PM Reaksi 2A B C mempunyai tetapan laju reaksi k dengan orde reaksi A 2 dan orde reaksi B 1. Tetapan kesetimbangan dari reaksi SnO2 2 H2. Contoh Soal Pendahuluan Laju Reaksi dan Pembahasannya. Contoh Soal Laju Reaksi Pembahasannya. Soal dan pembahasan laju reaksi kimia pilihan ganda.
 Source: pdfcookie.com
Source: pdfcookie.com
Laju reaksi pembentukan gas hidrogen setelah 30 detik adalah A. Are you sure you. Kimia menggambarkan kehidupan sedemikian rupa sehingga. 12 hours ago Delete Reply Block. Laju suatu reaksi pada suhu 15C adalah 3x Ms dan reaksi berlangsung dua kali lebih cepat saat suhu di naikkan 5C berapakah laju suatu reaksi pada suhu 25C.
Pembahasan contoh soal laju reaksi Posted by Edutafsi on 14 May 2015 - 1126 PM Reaksi 2A B C mempunyai tetapan laju reaksi k dengan orde reaksi A 2 dan orde reaksi B 1.
Contoh Soal Laju Reaksi Beserta Pembahasannya. Laju reaksi pembentukan gas hidrogen setelah 30 detik adalah A. Penyelesaian Kita bandingkan percobaan 1 dan percobaan 2 serta pecobaan 4 terhadap percobaan 5seperti berikut. Diketahui reaksi sebagai berikut.
 Source: myrightspot.com
Source: myrightspot.com
V 80 mL. Contoh Soal Laju Reaksi Beserta Pembahasannya. 12 hours ago Delete Reply Block. Tetapan kesetimbangan dari reaksi SnO2 2 H2. Kimia menggambarkan kehidupan sedemikian rupa sehingga.
Source: cute766.info
Laju reaksi pembentukan gas hidrogen setelah 30 detik adalah A. Contoh soal laju reaksi nomor 5. Soal dan pembahasan laju reaksi kimia pilihan ganda. Di misalkan v k P x Q y setelah di lakukan perhitungan di peroleh orde reaksi P 1 dan Q 2. Contoh Soal Pendahuluan Laju Reaksi dan Pembahasannya.
 Source: myrightspot.com
Source: myrightspot.com
Contoh soal laju reaksi pilihan ganda dan jawaban pembahasan reaksi kimia ada yang berlangsung cepat ada pula yang berlangsung lambat. Contoh Soal Laju Reaksi Beserta Pembahasannya. Contoh Soal Laju Reaksi Pembahasannya. Koefisien tersebut diperoleh setelah persamaan reaksi setara. V 80 mL.
Situs ini adalah komunitas terbuka bagi pengguna untuk menuangkan apa yang mereka cari di internet, semua konten atau gambar di situs web ini hanya untuk penggunaan pribadi, sangat dilarang untuk menggunakan artikel ini untuk tujuan komersial, jika Anda adalah penulisnya dan menemukan gambar ini dibagikan tanpa izin Anda, silakan ajukan laporan DMCA kepada Kami.
Jika Anda menemukan situs ini bermanfaat, tolong dukung kami dengan membagikan postingan ini ke akun media sosial seperti Facebook, Instagram dan sebagainya atau bisa juga simpan halaman blog ini dengan judul contoh soal laju reaksi dan pembahasannya dengan menggunakan Ctrl + D untuk perangkat laptop dengan sistem operasi Windows atau Command + D untuk laptop dengan sistem operasi Apple. Jika Anda menggunakan smartphone, Anda juga dapat menggunakan menu laci dari browser yang Anda gunakan. Baik itu sistem operasi Windows, Mac, iOS, atau Android, Anda tetap dapat menandai situs web ini.





